隨著鋼鐵冶煉等高溫技術的發展,耐火材料及原料的開發及研究迫在眉睫,合成原料作為一種具有發展前途的耐火材料得到越來越多的應用。氮化硅鐵(Fe-Si3N4)是近些年來出現的一種新型合成原料,它是以FeSi75鐵合金為原料,利用氮化技術和高溫合成工藝來制備的。
2.試驗過程
氮化硅鐵因含有Si3N4相,而具有Si3N4的一些優異性能,如高的耐火度,良好的抗侵蝕性,高的力學強度,良好的抗熱震性,較低的熱膨脹率,較高的抗氧化性等一系列優點;又因其含有Fe塑性相而具有良好的燒結性能。同時,相對于氮化硅而言,氮化硅鐵價格更低廉,也便于進行工業化推廣和生產,因此已被用為耐火材料的原料、高溫結合相和高溫結構材料,現已廣泛應用于高爐鐵溝澆注料和炮泥中。近年來,對氮化硅鐵材料及其在耐火材料中應用的研究越來越多,也取得了一些成果。在本文中,介紹了氮化硅鐵的合成、特性及其在澆注料、炮泥和復合耐火材料中應用的研究進展,并對其進行了前景展望。
目前氮化硅鐵主要用于澆注料、炮泥和復合耐火材料等耐火材料中。
1、澆注料
氮化硅鐵在澆注料中的應用主要側重于Al2O3-SiC-C鐵溝澆注料、鎂質澆注料和高鋁澆注料等。
1.1 Al2O3-SiC-C鐵溝澆注料
Al2O3-SiC-C質澆注料具有良好的抗渣侵蝕性和抗沖刷性能,在高爐出鐵溝的主溝、撇渣器和支溝等部位得到了廣泛應用。但由于冶煉技術的發展,高爐利用系數的不斷提高和高爐長壽化的要求,Al2O3-SiC-C質鐵溝澆注料壽命的進一步提高也刻不容緩。而現階段的Al2O3-SiC-C質鐵溝澆注料在周期性熔渣、熔鐵的化學侵蝕、熱沖擊和渣、鐵的沖刷作用下容易出現脫落;同時鐵溝澆注料中碳化硅和碳質材料在高溫下的氧化也會造成材料的結構破壞,這些均會導致鐵溝澆注料的損毀。
氮化硅鐵中的Si3N4具有不與渣和鐵完全潤濕的優點,可以改善鐵溝澆注料的抗侵蝕性;Si3N4的氧化產物會在試樣表面形成SiO2保護膜,阻礙了材料的進一步氧化,增強其抗氧化性能;金屬塑性相Fe具有助燒結作用,可以改善澆注料的力學性能。陳俊紅等比較了8%(w)的氮化硅和氮化硅鐵對Al2O3-SiC-C鐵溝澆注料在1500℃時的防氧化行為。結果發現,高溫氧化氣氛下,表面氮化硅鐵中的Si3N4首先氧化生成SiO2,構成氧化層的主體;隨著鐵相材料的氧化,形成的氧化鐵(Fe,)降低了氧化層的熔點及熔體的黏度,增進了熔體在澆注料表面上的潤濕性和流動性,形成了覆蓋于澆注料表面的氧化層而阻止了炭素材料的氧化,使其具有比純Si3N4更好的抗氧化性能。而澆注料內部的Fe并不是以氧化鐵(FexO)的形式存在,對高溫性能不會有害。劉斌的研究也得出同樣的結論,并且發現氮化硅鐵中的Si3N4在高溫下氧化生成的N2和炭素材料氧化生成的CO會堵塞材料的內部氣孔,從而有效地防止了進一步氧化。有研究表明:添加5%(w)的氮化硅鐵可以提高Al2O3-SiC-C質鐵溝澆注料的高溫抗折強度、高溫抗氧化性能。邢春山發現,隨著氮化硅鐵加入量的增加,鐵溝澆注料的抗渣侵蝕性能略有提高。而劉志軍發現氮化硅鐵加入量為9%(w)時,抗渣性能;當氮化硅鐵量過大時,反應過程中大量游離鐵的出現會造成材料內部出現大量的低共熔點物,從而降低澆注料的抗渣侵蝕性能。
1.2鎂質澆注料
鎂質澆注料具有耐火度和荷重軟化溫度高,不污染鋼水,抗堿性渣侵蝕性好等特點,在煉鋼爐及其鋼包等熱工設備上應用較多。涂軍波等以二氧化硅微粉為結合劑,研究了不同氮化硅鐵細粉加入量對鎂質澆注料常溫物理性能和高溫力學性能的影響。發現在氮化硅鐵加入量為3%(w)時,1200和1500℃燒后的常溫強度以及1400℃的高溫抗折強度均達到,這是由于氮化硅鐵加熱過程中氧化生成的SiO2與鎂砂生成了鎂橄欖石,增加了材料的強度,鐵相物質與氧化鎂固溶促進了材料的燒結。為了解決加入氮化硅鐵后鎂質澆注料不好燒結的問題,涂軍波等又研究了B4C加入量對鎂質澆注料力學性能的影響,結果表明,B4C的加入一方面促進了燒結,提高了試樣中高溫處理后的強度;但另一方面B4C在燒結過程中氧化產生液相,降低了顆粒之間的直接結合程度,使得試樣的高溫抗折強度下降。
1.3高鋁澆注料
高鋁澆注料具有力學性能好、抗滲透、耐侵蝕、抗沖擊等優異性能,廣泛用于電站、鍋爐、熔鑄爐、加熱爐、均熱爐、熱處理爐和感應爐等爐襯的不同部位。高杰等以高鋁礬土熟料為主要原料,以純鋁酸鈣水泥為結合劑,研究了氮化硅鐵加入量對熔鋁爐用高鋁質澆注料性能的影響。結果表明,隨著氮化硅鐵加入量的增加,因氮化硅鐵氧化生成的SiO2與氧化鋁反應生成莫來石,增加了燒后試樣的常溫強度;然而氮化硅鐵的部分氧化會造成基質中出現孔洞,增加了熔渣對試樣的滲透。當氮化硅鐵加入量為5%(w)時,坩堝試樣鋁液滲透比較嚴重。
2、炮泥
炮泥是一種用于堵塞高爐出鐵口的重要耐火材料,出鐵時,渣、鐵同時從出鐵口排出。隨著高爐的大型化和長壽化,高風溫、富氧噴吹、高壓等冶煉技術的不斷強化,對出鐵口炮泥的性能提出了更高的要求,如具有高的抗化學、渣和生鐵侵蝕性,良好的燒結性、填充性,優良的抗熱震性和高溫體積穩定性,環境污染小,易開口,能延長出鐵時間并保護爐缸。炮泥已從單純的消耗性耐火材料轉變成功能性耐火材料,其質量的好壞直接關系到高爐生產能否順行。傳統的炮泥已經不能適應現代冶煉要求,開發高性能炮泥勢在必行。
Si3N4具有熔點高、強度高、抗熱震性好和結構穩定的特點,在一定程度上提高了炮泥的高溫強度、抗氧化性、抗侵蝕和抗沖刷性能,但炮泥的開口性能改善不明顯,而且Si3N4價格又比較昂貴,限制了其在炮泥中的使用。氮化硅鐵具有Si3N4的所有特性,含有的金屬塑性相Fe能促進燒結,在一定程度上又能解決Si3N4難燒結的問題,而且價格比Si3N4低廉,故對氮化硅鐵在炮泥中應用的研究越來越多。
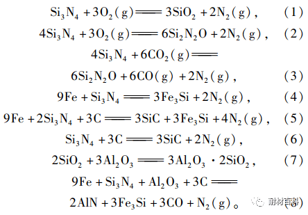
加入氮化硅鐵的炮泥在高溫加熱過程中,發生的反應除了瀝青的分解、炭化和助燒結劑的液相燒結外,主要反應就是氮化硅鐵在含碳材料中的反應,其氣氛主要是含N2、O2、CO2和CO等的混合氣體。其可能發生的主要反應如下:
可見,加入氮化硅鐵后,在高溫下試樣表面的Si3N4能氧化生成SiO2保護膜,阻礙炮泥的進一步氧化,提高炮泥的抗氧化性能。炮泥中的氮化硅鐵在反應觸媒——金屬塑性相Fe和碳的參與下反應生成Si2N2O、SiC和AlN新相,強化了炮泥的基質和組織結構,提高材料的中溫和高溫強度。而且,試樣內部Si3N4氧化生成的SiO2活性較高,其能與材料中的Al2O3反應生成莫來石,更進一步提高高溫強度及材料的耐沖刷性,延長出鐵時間。高溫下N2和CO等氣體的逸出使試樣中產生氣孔,提高炮泥在實際使用過程中的開孔性能。同時,生成的N2和CO具有減少與鐵水接觸界面的摩擦作用,而且一部分氣體又貯存于氣孔中,這雙重作用均抑制了鐵水及熔渣向炮泥中的滲入及蝕損,提高材料的抗侵蝕和滲透性能。周永平等認為氮化硅鐵的量不應超過15%(w),因為過多氮化硅鐵量的添加會使炮泥的氣孔率過大,造成強度下降。而且過量鐵元素的存在也會使試樣在高溫時的液相量增多,導致試樣強度下降。
陳俊紅等研究發現,當氮化硅鐵加入量為12%(w)時,有助于提高炮泥的高溫抗折強度和抗沖刷性,延長出鐵時間。邱海龍等和占華生等分別將含氮化硅鐵5%和10%(w)的Al2O3-SiC-C無水炮泥在3200、580、260和2000m3等大中型高爐上進行了成功應用,無水炮泥的中高溫強度和抗侵蝕沖刷性能得到了明顯提高,炮泥使用過程中的擴孔速度慢,開口性能好,出鐵時間延長到120min以上,減少了出鐵次數,大幅降低了爐前工人的勞動強度。梅鋼高爐炮泥中添加氮化硅鐵后,增強了炮泥的抗渣和抗沖刷性能,卡焦現象的發生也得以降低。但也有研究均認為氮化硅鐵的加入量對炮泥的抗渣侵蝕性影響不大或很小。將氮化硅鐵和金屬相Al和Si同時加入到無水炮泥中,利用原位反應生成氮化物和氫氧化物,自修復和自增強被破壞的炮泥組織結構的原理,研制出高性能的無水炮泥,而且已成功應用于首鋼、遷鋼。
亓華濤發現:炮泥中添加氮化硅鐵后,與加入SiC或的炮泥相比,其各個溫度下的高溫抗折強度都有不同程度的提高,其原因在于氮化硅鐵中存在延性顆粒增強體Fe和金屬間化合物Fe3Si,Fe3Si促進了炮泥燒結和α-Si3N4向β-Si3N4的轉變,提高了氧化物、非氧化物間的結合強度。同時還發現,當氮化硅鐵加入量超過24%(w)時,炮泥的氣孔率明顯增大,各溫度段的抗折強度相應下降。
3、復合耐火材料
復合耐火材料是由兩種或兩種以上不同性質的耐火原料,通過物理或化學的方法,在宏觀(微觀)上組成具有新性能的耐火材料。氮化硅鐵在復合耐火材料中的應用主要側重于含碳復合材料和無碳復合材料。
3.1含碳復合材料
王躍等發現在ASC磚中加入氮化硅鐵時,氮化硅鐵中的Si3N4在高溫使用過程中會轉化為Si2N2O;而且隨著氮化硅鐵加入量的增加,Si2N2O生成量增加,ASC試樣的高溫抗折強度和抗渣侵蝕性能不斷提高。Al2O3-C系材料是冶金工業中常用的含碳復合材料,具有較高的強度、良好的抗熱震性和抗渣性能,被廣泛應用于連鑄用功能性構件,如滑板。宋文等研究發現,氮化硅鐵在AI2O3-C中高溫下主要發生Si3N4向SiC的轉變(α-Si3N4先轉化為β-Si3N4,后轉化為SiC),氮化硅鐵中的Fe3Si顆粒在此過程中逐漸變小,分散于SiC新相和未轉變完的β-Si3N4中,材料的組織結構致密。陳俊紅等研究了Fe-Si3N4-C材料高溫時的物相變化和Fe元素的作用機制,結果表明:與Si3N4-C材料相比,Fe-Si3N4-C中的Fe對Si3N4向SiC轉化具有明顯的促進作用,使SiC的生成溫度大大降低;Fe-Si3N4中的Fe3Si在C存在條件下變為Fe-Si-C熔體,[Fe]的活度增加,繼而與Si3N4反應并吸納其中的Si而成為Fe-Si-C系高硅過渡中間相,且伴隨過渡中間相的流動、滲透,繼而與C反應生成SiC或在熔體中析出SiC結晶,實現Fe對Si3N4向SiC轉化的促進作用;而SiC的形成也將鐵粒子由大分割變小,終形成SiC新相中彌散著鐵粒子的復相結構。氮化硅鐵中少量的SiO2在高溫下也消失了,少部分Si3N4轉變為Si2N2O,與Fe3Si—起彌散于新相SiC之中。
3.2無碳復合材料
張勇等和PengDayan等在SiC顆粒中添加硅鐵粉(FeSi2),加壓成形后在氮化爐內直接氮化燒成氮化硅鐵結合SiC復合材料時,發現硅鐵粉的添加量應小于15%(w),而且還需通過控制氮化爐內氮的平衡分壓和減緩升溫速率的措施來控制氮化反應的進度,以此減緩氮化過程中試樣內部的應力,防止試樣的損壞。氮化硅鐵結合SiC復合材料在1100~1300℃的氧化主要是SiC與Si3N4的氧化,氧化產物SiO2能起到保護膜的作用,阻止進一步的氧化;而且,氧化反應初期單位面積的質量變化符合直線規律,氧化中期符合二次曲線規律,氧化后期符合拋物線規律。研究還表明,相比Si3N4結合SiC復合材料,氮化硅鐵結合SiC復合材料中的Fe還可以提高材料的抗熱震性。
朱曉燕等以FeSi75和SiC為主要原料,直接氮化燒結,在1450℃成功制備了性能優異的氮化硅鐵結合SiC復合材料,此材料的耐壓強度為145MPa,荷重軟化開始溫度為1750℃,其主要物相組成為SiC、α-Si3N4和Fe3Si,氮化產物以α-Si3N4為主,并有少量的β-Si3N4;而且Fe并未參加氮化,而是以穩定的金屬間化合物Fe3Si的形式分散于晶界中。
翟亞偉等和LiYong等研究了以FeSi75、Si3N4和SiC為主要原料在1300℃下合成氮化硅鐵結合SiC復合材料,結果表明:當硅鐵含量為12%(w)時,氮化硅鐵結合SiC復合材料的綜合性能;而當硅鐵含量為15%(w)時,過多的Fe反而阻礙了Si的完全氮化,使硅鐵的氮化程度降低,復合材料綜合性能下降。金屬間化合物Fe3Si在復合材料中扮演著塑性相的作用,可以提高復合材料的力學性能。而秦海霞等以熱固酚醛樹脂為結合劑,制備氮化硅鐵-剛玉復合材料時,卻發現氮化硅鐵中部分Fe3Si轉化成了Fe4N,酚醛樹脂結合劑中部分殘碳與氮氣反應生成了C3N4,氮化硅與剛玉發生固溶,生成了β-SiAlON。這些新物相的形成增強了顆粒與基質之間以及基質內部的結合,提高了材料的力學性能。
李勇等以過渡塑性理論為基礎,成功研制出不燒氮化硅鐵-棕剛玉復合耐火材料和不燒氮化硅鐵-尖晶石-剛玉復合耐火材料,無需高溫燒成,生產工序簡單,原料價格低廉,大大降低了生產成本,同時產品具有強度高、抗熱震性好、抗侵蝕性好、壽命長等特點,滿足了RH精煉用耐火材料無鉻化的需求。同時還研制出不燒氮化硅鐵-氧化鋁復合無碳滑板,無需高溫燒成,無需浸油工序,大大降低了生產成本,且滑板內因不含AI4C3和AlN,具有良好的抗水化性能,滿足了潔凈鋼連鑄的需求。專利中將研制的礬土-氮化硅鐵復合耐磨磚取代傳統的尖晶石磚,用于大型水泥回轉窯過渡帶,價格更低廉,耐磨性更好,壽命可達1.5a以上,提高了大型水泥回轉窯的運轉率。
4、結論
氮化硅鐵作為一種新型的合成原料,相對于氮化硅而言價格更低廉,將其加入到耐火材料中也解決了氮化硅難以燒結的問題,在鐵溝料、炮泥和復合材料中應用越來越多。
用硅鐵直接合成氮化硅鐵結合SiC復合材料,為氮化硅鐵的應用又提供了另一種思路。然而,目前用于生產氮化硅鐵的硅源FeSi75合金,雖然已取代了更為昂貴的金屬硅,但相對市場價格仍然較高;采用碳熱還原氮化法制取氮化硅鐵雖然成本相對降低,但仍需要進行抽真空等措施,以使氮化爐等氮化設備內形成高純氮化環境;而大部分氮化過程也都仍然需要在較高的氮氣壓力下,這使得高壓容器很難實現大型化,不利于大批量生產氮化硅鐵。這些都導致了合成氮化硅鐵粉體和其結合的復合材料的價格較昂貴,不利于成本控制,限制了其在冶金行業的大規模應用推廣
Copyright ? 2020-2023 鄭州榮盛窯爐耐火材料有限公司 | 豫ICP備13012392號 | 公司營業執照信息公示